КОМПЛЕКТНОЕ ОБОРУДОВАНИЕ ПРОИЗВОДСТВА КОНДИТЕРСКОГО ЯДРА ПОДСОЛНЕЧНИКА И ТЫКВЫ (КИТАЙ)
Профессиональные линии лущения и сепарации ядра подсолнечника и тыквы. Высококачественная обрушка семян, передовые технологии, оптимальные технические решения для производства кондитерского ядра.
TK-1000. Линия лущения и сепарации ядра подсолнечника
Описание линии: Линия шелушения и сепарации ядра подсолнечника. Используется для эффективной очистки подсолнечника (от больших и малых, тяжелых и легких инородных примесей, пустых семян и т.д.), шелушения, отвода шелухи, двухэтапной сепарации ядра подсолнечника. Особенность данной линии в сравнении с базовой моделью состоит в двухэтапной автоматизированной сепарации ядра, при которой нешелушенные семена (в основном, малого размера) не направляются циклически обратно в шелушильное отделение, а удаляются из рабочего процесса.
Линия включает:
- Приемный бункер
- Спиральный подъемник
- Виброочиститель семян
- Мульти-функциональный очиститель
- Пневмоподъемник для подачи очищенных семян в шелушильное отделение
- Шелушильная машина (метод шелушения - центробежное соударение семян)
- Сепаратор шелухи, неошелушенных семян и ядра
- 1-ая сепарационная машина
- Двухканальный спиральный подъемник
- Сепаратор семян малого размера (игловидной формы)
- Двухканальный спиральный подъемник
- 2-я сепарационная машина
- Емкость для готовой продукции
- Панель управления (под заказ может быть поставлена панель с фотоэлектронной компьютеризированной системой управления)
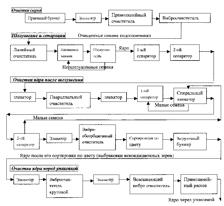
Технологическая схема
Описание технологической схемы:
- подача сырья;
- удаление примесей;
- пневматический подъём очищенного сырья;
- процесс шелушения;
- отвод лузги от смеси ядра и неошелушенных семян;
- сортировка ядра и неошелушенных семян;
- двухканальный шнековый подъем;
- сепаратор игольчатообразных неошелушенных семян и лузги;
- двухканальный шнековый подъем (с удалением из дальнейшего технологического процесса неошелушенных семян);
- повторная сепарация ядра и лузги;
- очищенное ядро (конечный продукт);
- отвод неошелушенных семян.
Состав конечного продукта:
Ядро - минимум 98%. Цельное ядро (неповрежденное) - минимум 90%. Неошелушенные семена - максимум 2%.
Санитарно-гигиенические показатели:
Результаты проверки на шум:
- Питающее устройство шелушильной машины - 85 дб
- Выгружное устройство шелушильной машины - 85 дб
Результаты проверки на запыленность воздуха:
- Питающее устройство шелушильной машины - 9.8 мг/м³ (норма - 10мг/м³)
- Сепаратор - 7.1 мг/м³ (норма - 10мг/м³)
- Выгружное устройство шелушильной машины - 5.5 мг/м³ (норма - 10мг/м³)
Монтаж линии: Подготовки фундамента не требуется. Оборудование размещается на рамном основании.
ВИДЕОРОЛИК с демонстрацией работы линии лущения TK-1000 (объем 7,5Мб).
Предлагаем эффективное и экономичное решение проблемы утилизации лузги: -
оборудование для производства древесного угля
TFH-150. Линия лущения и сепарации ядра тыквы и арбуза
Описание линии: Линия используется для эффективного шелушения, отвода шелухи, двухэтапной сепарации ядра тыквы. Применима также для шелушения арбузных семян. Отличительной особенностью этой новой, улучшенной модели по сравнению с моделью TFH-250 является то, что в ней добавлены (интегрированы в линию) функции предварительной очистки и сортировки семян. Таким образом, сейчас данная линия включает в себя все технологические этапы переработки семян начиная от подачи неподготовленного сырья и заканчивая выходом качественного готового продукта.
Линия включает:
- Приемный бункер
- Вибрационный загрузчик (вразброс)
- Комбинированный спиральный элеватор
- Шелушитель
- Коллектор сбора шелухи
- Сепаратор нагнетательного типа (для сепарации ядра и неошелушенных семян)
- Циклон
- Шнековый разгрузчик
- Шнековый подъемник (с двумя выходами)
- Сепаратор нагнетательного типа
- Панель управления
Технологическая схема
Состав конечного продукта:
Ядро - минимум 97%. Цельное ядро - минимум 95%. Неошелушенные семена - максимум 3%.
Монтаж линии: Подготовки фундамента не требуется. Оборудование размещается на рамном основании.
ВИДЕОРОЛИК с демонстрацией работы линии TFH-150 (объем 4Мб).
Другое рекомендованное оборудование
QLM800. Линия очистки ядра подсолнечника, тыквы после шелушения.
(рекомендуется для использования в технологической цепочке после линий лущения и сепарации. Производительность: 0.8 тонн/час по ядру подсолнечника. Качество очистки: 99.7% минимум. Доля неошелушенных семян: 1% максимум)
QLR800. Линия предпродажной очистки ядра подсолнечника, тыквы
(рекомендуется для использования в технологической цепочке после линии QLM800). Предназначена для тонкой (финальной) очистки ядра подсолнечника, тыквы и др. подобных продуктов от различных мелких примесей, для регулировки доли дробленного ядра в конечном продукте. Производительность: 0.8 тонны/час по ядру подсолнечника. Качество очистки: 99.9% минимум.
QLH-1500. Линия очистки семян подсолнечника
Данная линия применяется для качественной очистки семян подсолнечника от больших и малых посторонних примесей, пыли, пустых семян, прочих загрязнений по размеру сопоставимых с размером семян. Производительность: 1.5 тонны/час по семенам подсолнечника. Качество очистки: 99.5% минимум. Потери: 0.5% максимум.


